Table 12: Distance of the horizon
Height of eye:
inches
feet
yards
meters
statute miles
nautical miles
in
feet
yards
meters
statute miles
nautical miles
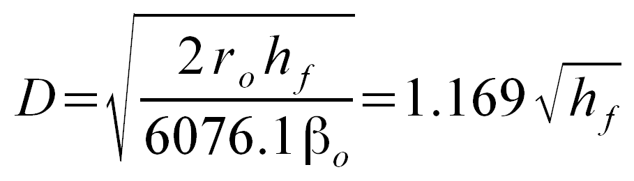
r
o
=
mean radius of earth (3440.1 nm)
h
f
=
height of eye (feet)
β
o
=
refraction factor (0.8279)
D
=
distance to horizon (nm)